AI可以独自破译一种语言吗? ?
AI可以独自破译一种语言吗? ?
About
可以。
语言本质上是一堆符号和符号之间的内在逻辑关系。
而这个内在逻辑关系是一种信息。
无论是用向量描述,还是概率模型描述,还是规则描述,这种内在逻辑关系都是一种信息,掌握了这种信息就意味着掌握了这门语言。
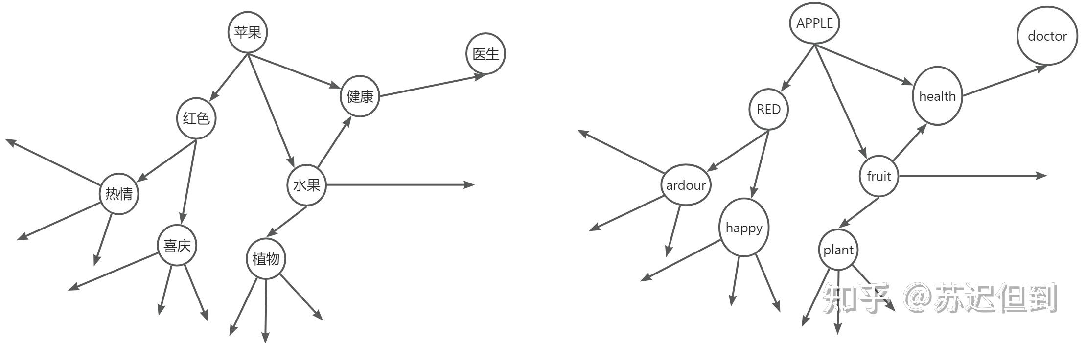
例如在中国:
苹果是一种红色,圆形,象征着健康的一种水果。
在英国:
Apple is a red, circular fruit that symbolizes health.
在德国:
Apfel ist eine rote, kreisförmige Frucht, die Gesundheit symbolisiert.
这种词和词的关系是相对固定。
类似于两个图

AI并不能直接获取这种关系,但是它可以通过概率来近似的这种关系模型。

当然在实际应用中,AI学习使用的并不是不是一个字符对下一个字符的引用关系,而是大模型自身指定的数量的一系列词的引用关系,可能是4096或者其他数字。
这样哪怕是俚语,又或者是名言都可以被一网打尽。
通过大量词的概率模型的学习,AI可以通过一个词(或者现在我们也可以叫token)在不同图中的位置,知道它们之间的关系,从而做到学习一种新的语言。
注:
1.无法使用AI破译甲骨文的原因也很明显,词量太少了
2.不一定可以破译外星人的语言,因为除了数学和天体学知识外,很可能两者的关系模型不一致。而相对于人类的文字而言,因为我们生活在同一个地球还是同一个物种,那么在我们的世界中苹果,太阳,母亲,汽车,开心等等都是代指一个东西,所以关系模型比较相近。