为什么非要用移码而不是原码来比较整数大小?
为什么非要用移码而不是原码来比较整数大小?
About
因为移码是比较数字大小的编程量最小方法。
给你两个原码你要怎么比较大小呢?(注意,这个时候你只有硬件可以使用,既且或非移位)
例如0 1101111和1 0010010,又比如111000和100111
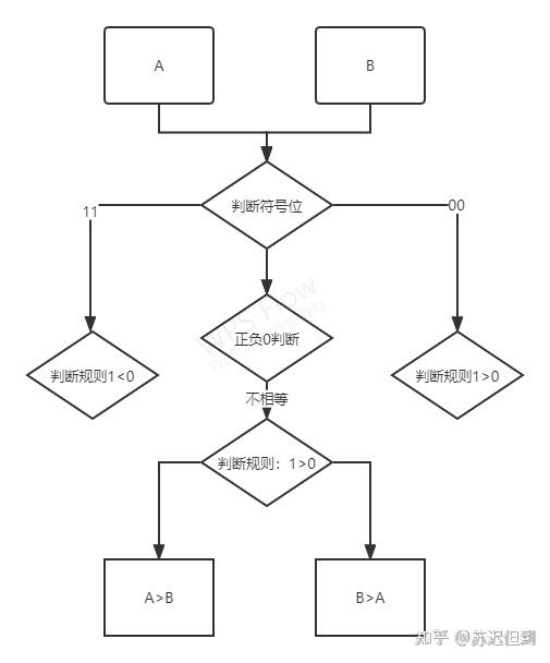
我们来画一个流程图,看看原码比较大小模型下的复杂程度。

你看要直接比较原码大小这么复杂,因此在比大小的时候往往会使用移码比较。
移码是什么?
移码本质是这个公式: .
.我们小学二年级真的就学过这个公式 。
这个公式帮助我们将数字从 .其中[1,255]都是正数,我们只需要从高位1的出现,就可以快速的判断出大小。
至于小数和整数本质没有区别,小数也可以生成自己的移码。
Tip:移码表示中,0有唯一的编码——1000…00,当出现000…00时(表示-2En),属于浮点数下溢。因此不考虑负0的比较大小问题。
因此我们可以很少的硬件部分就实现了两个数的大小比较,这样才有利于提高速度。
Tips:在IEEE 754当中,阶码也是移码,但是它的偏置值是127,也就是说 。
那如果阶码出现了0或者255会出现什么情况呢?
如果阶码是0的话,符号位是0,则这个数是正0.符号为1的话是负0.
如果阶码是255的话,符号位是0,则这个数是正无穷,符号位是1的话则是负无穷。
引入这两个数字的情况下,是为了计算出现异常情况下,依然将程序继续进行下去。
推荐一本好书,欢迎大家购买。